CLINICAL RESEARCH
Relationship between albumin-bilirubin score, Fibrosis-4 index and 28-day mortality in critically ill cirrhotic patients: a retrospective cohort analysis and machine learning-driven prediction models
More details
Hide details
1
Department of Geriatric General Surgery, The Second Affiliated Hospital of Xi’an Jiaotong University, Xi’an, Shaanxi, China
2
Department of Respiratory and Critical Care Medicine, The First Affiliated Hospital of Xi’an Jiaotong University, Xi’an, Shaanxi, China
3
Department of Clinical Laboratory, Xi’an People’s Hospital (Xi’an Fourth Hospital), Xincheng District, Xi’an, Shaanxi, China
Submission date: 2025-05-18
Final revision date: 2025-08-06
Acceptance date: 2025-08-14
Online publication date: 2025-10-15
Corresponding author
Yanchen Li
Department of
Clinical Laboratory
Xi’an People’s Hospital
(Xi’an Fourth Hospital)
Xincheng District
Xi’an, Shaanxi, China
KEYWORDS
TOPICS
ABSTRACT
Introduction:
Critically ill patients with cirrhosis face substantially increased mortality. Reliable prognostic tools are essential for risk stratification and to guide clinical decision-making. Although prior studies have explored the predictive value of the albumin-bilirubin score (ALBI) and Fibrosis-4 (FIB-4) index in compensated cirrhosis and liver cancer, their role in predicting mortality among critically ill patients with cirrhosis has remained insufficiently investigated. This study was conducted to evaluate these associations in this high-risk population.
Material and methods:
Data for 2,139 critically ill cirrhotic patients were drawn from Version 3.1 of the MIMIC-IV database. Associations were analyzed using restricted cubic splines and Cox proportional hazards regression. Survival analyses were performed using Kaplan-Meier curves. Feature importance of the ALBI score and FIB-4 index was assessed using the Boruta algorithm, and machine learning-driven predictive models were developed.
Results:
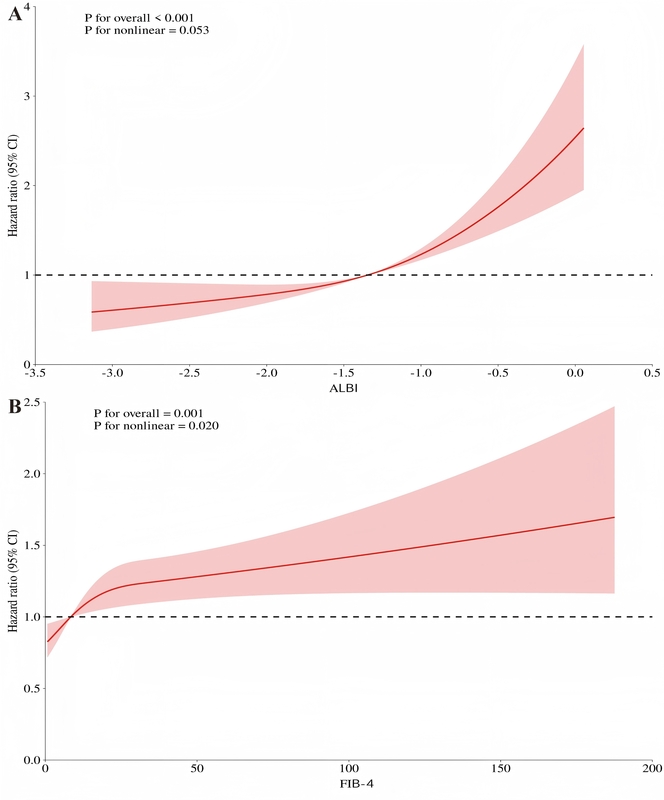
Elevated ALBI scores were strongly correlated with increased 28-day all-cause mortality risk in patients with cirrhosis (HR = 1.69;95% CI: 1.48–1.93; p < 0.05). The FIB-4 index exhibited similar prognostic relevance. Boruta’s feature selection indicated that both scores had high Z scores. Among predictive models, the random survival forest (RSF) approach performed best (AUC = 0.832).
Conclusions:
The ALBI and FIB-4 scores are strongly associated with 28-day all-cause death rates in critically ill cirrhotic patients. Higher ALBI scores and FIB-4 index values are associated with greater mortality risks. Predictive models based on machine learning show strong performance. These findings suggest that the ALBI and FIB-4 scores may serve as potential predictors of adverse outcomes in critically ill cirrhotic patients.
REFERENCES (42)
1.
López-Sánchez GN, Dóminguez-Pérez M, Uribe M, et al. The fibrogenic process and the unleashing of acute-on-chronic liver failure. Clin Mol Hepatol 2020; 26: 7-15.
2.
Xiong J, Zhang M, Guo X, et al. Acute kidney injury in critically ill cirrhotic patients with spontaneous bacterial peritonitis: a comparison of KDIGO and ICA criteria. Arch Med Sci 2019; 16: 569-76.
3.
Kumada T, Toyoda H, Tada T, et al. Changes in background liver function in patients with hepatocellular carcinoma over 30 years: comparison of Child-Pugh classification and albumin bilirubin grade. Liver Cancer 2020; 9: 518-28.
4.
Dai B, Guissi NEI, Sulyok LF, et al. Advantages of using indocyanine green in liver transplantation: a narrative review. Ann Transl Med 2022; 10: 110.
5.
da Fonseca LG, de Melo MAZ, da Silveira THM, et al. Prognostic role of albumin-bilirubin (ALBI) score and Child-Pugh classification in patients with advanced hepatocellular carcinoma under systemic treatment. Ecancermedicalscience 2024; 18: 1748.
6.
Taylor GA, Fagenson AM, Kuo LE, et al. Predicting operative outcomes in patients with liver disease: albumin-bilirubin score vs model for end-stage liver disease-sodium score. J Am Coll Surg 2020; 232: 470-80.
7.
Toyoda H, Johnson PJ. The ALBI score: from liver function in patients with HCC to a general measure of liver function. JHEP Rep 2022; 4: 100557.
8.
Mózes FE, Lee JA, Selvaraj EA, et al. Diagnostic accuracy of non-invasive tests for advanced fibrosis in patients with NAFLD: an individual patient data meta-analysis. Gut 2022; 71: 1006-19.
9.
McPherson S, Hardy T, Dufour JF, et al. Age as a confounding factor for the accurate non-invasive diagnosis of advanced NAFLD fibrosis. Am J Gastroenterol 2017; 112: 740-51.
10.
Rasmussen DN, Thiele M, Johansen S, et al. Prognostic performance of 7 biomarkers compared to liver biopsy in early alcohol-related liver disease. J Hepatol 2021; 75: 1017-25.
11.
Tian YB, Niu H, Xu F, et al. ALBI score combined with FIB-4 index to predict post-hepatectomy liver failure in patients with hepatocellular carcinoma. Sci Rep 2024; 14: 8034.
12.
Liao R, Li DW, Du CY, et al. Combined preoperative ALBI and FIB-4 is associated with recurrence of hepatocellular carcinoma after curative hepatectomy. J Gastrointest Surg 2018; 22: 1679-87.
13.
Johnson AEW, Bulgarelli L, Shen L, et al. MIMIC-V, a freely accessible electronic health record dataset. Sci Data 2023; 10: 1.
14.
Petroff D, Berg T, Wiegand J. Transitioning FIB-4 score: from fibrosis screening tool to key biomarker for clinical endpoints. J Hepatol 2024; 81: e228-9.
15.
Johnson PJ, Berhane S, Kagebayashi C, et al. Assessment of liver function in patients with hepatocellular carcinoma: a new evidence-based approach-the ALBI grade. J Clin Oncol 2015; 33: 550.
16.
Tsagris M, Tsamardinos I. Feature selection with the R package MXM. F1000Res 2018; 7: 1505.
17.
Hsu WH, Ko AT, Weng CS, et al. Explainable machine learning model for predicting skeletal muscle loss during surgery and adjuvant chemotherapy in ovarian cancer. J Cachexia Sarcopenia Muscle 2023; 14: 2044-53.
18.
Allaire M, Goumard C, Lim C, et al. New frontiers in liver resection for hepatocellular carcinoma. JHEP Rep 2020; 2: 100134.
19.
Legaz I, Bolarin JM, Campillo JA, et al. Pretransplant ascites and encephalopathy and their influence on survival and liver graft rejection in alcoholic cirrhosis disease. Arch Med Sci 2019; 17: 682-93.
20.
Zhou XD, Chen QF, Sun DQ, et al. Remodeling the model for end-stage liver disease for predicting mortality risk in critically ill patients with cirrhosis and acute kidney injury. Hepatol Commun 2017; 1: 748-56.
21.
Kudo M, Finn RS, Cheng AL, et al. Albumin-bilirubin grade analyses of atezolizumab plus bevacizumab versus sorafenib in patients with unresectable hepatocellular carcinoma: a post hoc analysis of the phase III IMbrave150 study. Liver Cancer 2023; 12: 479-93.
22.
Fagenson AM, Gleeson EM, Pitt HA, et al. Albumin-bilirubin score vs model for end-stage liver disease in predicting post-hepatectomy outcomes. J Am Coll Surg 2020; 230: 637-45.
23.
Lee YH, Koh YS, Hur YH, et al. Effectiveness of the albumin-bilirubin score as a prognostic factor for early recurrence after curative hepatic resection for hepatocellular carcinoma. Ann Hepatobiliary Pancreat Surg 2018; 22: 335-43.
24.
Tai K, Kuramitsu K, Kido M, et al. Impact of albumin-bilirubin score on short- and long-term survival after living-donor liver transplantation: a retrospective study. Transplant Proc 2020; 52: 910-9.
25.
Nam JY, Choe AR, Sinn DH, et al. A differential risk assessment and decision model for transarterial chemoembolization in hepatocellular carcinoma based on hepatic function. BMC Cancer 2020; 20: 504.
26.
Lee CH, You GR, Jo HG, et al. Albumin-bilirubin grade as a valuable predictor of recurrence and prognosis in patients with hepatocellular carcinoma following radiofrequency ablation. Cancers (Basel) 2024; 16: 4167.
27.
Fragaki M, Sifaki-Pistolla D, Orfanoudaki E, et al. Comparative evaluation of ALBI, MELD, and Child-Pugh scores in prognosis of cirrhosis: is ALBI the new alternative? Ann Gastroenterol 2019; 32: 626-32.
28.
Oikonomou T, Goulis L, Doumtsis P, et al. ALBI and PALBI grades are associated with the outcome of patients with stable decompensated cirrhosis. Ann Hepatol 2019; 18: 126-36.
29.
Wang J, Wang K, Feng G, et al. Association between the albumin-bilirubin (ALBI) score and all-cause mortality risk in intensive care unit patients with heart failure. Glob Heart 2024; 19: 97.
30.
Gou E, Yang Q, Chen J, et al. Association between albumin-bilirubin score and in-hospital mortality in patients with sepsis: evidence from two large databases. Heliyon 2024; 10: e34697.
31.
Anstee QM, Castera L, Loomba R. Impact of non-invasive biomarkers on hepatology practice: past, present and future. J Hepatol 2022; 76: 1362-78.
32.
Wang Y, Yang X, Wang S. Progress and prospects of elastography techniques in the evaluation of fibrosis in chronic liver disease. Arch Med Sci 2024; 20: 1784-92.
33.
Kjaergaard M, Lindvig KP, Thorhauge KH, et al. Using the ELF test, FIB-4 and NAFLD fibrosis score to screen the population for liver disease. J Hepatol 2023; 79: 277-86.
34.
Parikh ND, Mehta M, Tapper EB. FIB-4 and APRI for cirrhosis detection in a privately insured national cohort. JHEP Rep 2023; 6: 100925.
35.
Loosen SH, Kostev K, Demir M, et al. An elevated FIB-4 score is associated with an increased incidence of liver cancer: a longitudinal analysis among 248,224 outpatients in Germany. Eur J Cancer 2022; 168: 41-50.
36.
Li X, Xu H, Gao P. Fibrosis index based on 4 factors (FIB-4) predicts liver cirrhosis and hepatocellular carcinoma in chronic hepatitis C virus (HCV) patients. Med Sci Monit 2019; 25: 7243-50.
37.
Lee J, Vali Y, Boursier J, et al. Prognostic accuracy of FIB-4, NAFLD fibrosis score and APRI for NAFLD-related events: a systematic review. Liver Int 2021; 41: 261-70.
38.
Ma X, Zhu Y, Yeo YH, et al. The impact of an increased fibrosis-4 index and the severity of hepatic steatosis on mortality in individuals living with diabetes. Hepatol Int 2024; 18: 952-63.
39.
Albayrak T, Yuksel B. Prognostic value of fibrosis 4 (FIB-4) index in sepsis patients. J Pers Med 2024; 14: 531.
40.
Miele L, Dajko M, Savino MC, et al. Fib-4 score is able to predict intra-hospital mortality in 4 different SARS-COV2 waves. Intern Emerg Med 2023; 18: 1415-27.
41.
Guan L, Li L, Zou Y, et al. Association between FIB-4, all-cause mortality, cardiovascular mortality, and cardiovascular disease risk among diabetic individuals: NHANES 1999-2008. Front Cardiovasc Med 2023; 10: 1172178.
42.
Akabane M, Kawashima J, Altaf A, et al. Dynamic ALBI score and FIB-4 index trends to predict complications after resection of hepatocellular carcinoma: a K-means clustering approach. Eur J Surg Oncol 2025; 51: 109723.